Home
About
Product
News
Recruit
contact
china
Carrier preservative
Photoelectric materials
chitosan derivatives
disinfectant and fungicide
Pharmaceutical intermediates containing halogen
Chiral compounds
Other heterocyclic compounds
Pyridine pharmaceutical intermediates
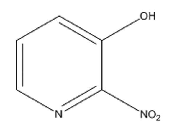
3-hydroxy-2-nitropyridine
CAS:15128-82-2
Application: intermediate of clotriminib (in the treatment of lung cancer)
上一篇:
1H imidazole [4,5-c] pyridine
下一篇:
2-chloromethyl-3-methyl-4-methoxypyridine hydrochloride